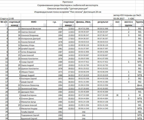
КОТ Опубликовано 17 августа, 2017 Поделиться Опубликовано 17 августа, 2017 (изменено) Завершающая гонка сезона пройдет 3 сентября на идеально ровной дороге на Газпромовскую подстанцию. Приглашаю всех желающих как на шоссе так и на МТБ, специально для вас ввел категорию МТБ. Положение о гонке Положение о Чемпионате г. Омска Пик Сезона в гонках с раздельным стартом по велосипедному спорту на шоссе..doc Старт 3 сентября в 12-00 утра. Зарегистрироваться нужно и просто обязательно, как тут https://www.zareg.me/917 , так и здесь на сайте, но прошу сделать это заранее. Стартовый взнос как и в прошлом году 200 руб. подробнее о том как проходила эта гонка в прошлом году, можно прочитать в соответствующей теме http://omskvelo.ru/i...be%d0%bd%d0%b0/ Финишный протокол в екселе финишный протокол 03.09.2017.xls и картинкой Изменено 8 сентября, 2017 пользователем КОТ 4 Цитата Ссылка на комментарий Поделиться на другие сайты Поделиться
Mew Опубликовано 17 августа, 2017 Поделиться Опубликовано 17 августа, 2017 (изменено) Если раскатаюсь(а если нет,то надеюсь найду того кто отвезет), то мы всей семьей участвуем) Надеюсь собачек, там не будет. :rolleyes: Изменено 17 августа, 2017 пользователем Mew Цитата Ссылка на комментарий Поделиться на другие сайты Поделиться
colorex Опубликовано 17 августа, 2017 Поделиться Опубликовано 17 августа, 2017 так 21 или 24 км? Цитата Ссылка на комментарий Поделиться на другие сайты Поделиться
КОТ Опубликовано 17 августа, 2017 Автор Поделиться Опубликовано 17 августа, 2017 24км где ты там 21 увидел Цитата Ссылка на комментарий Поделиться на другие сайты Поделиться
Mew Опубликовано 17 августа, 2017 Поделиться Опубликовано 17 августа, 2017 В афише 21 км :unsure: Цитата Ссылка на комментарий Поделиться на другие сайты Поделиться
sm1t Опубликовано 17 августа, 2017 Поделиться Опубликовано 17 августа, 2017 я буду Цитата Ссылка на комментарий Поделиться на другие сайты Поделиться
Игарёk Опубликовано 17 августа, 2017 Поделиться Опубликовано 17 августа, 2017 Обязательно буду. Цитата Ссылка на комментарий Поделиться на другие сайты Поделиться
Mew Опубликовано 17 августа, 2017 Поделиться Опубликовано 17 августа, 2017 А почему в регистрации нет разделения на МТБ и Шоссе? Цитата Ссылка на комментарий Поделиться на другие сайты Поделиться
КОТ Опубликовано 17 августа, 2017 Автор Поделиться Опубликовано 17 августа, 2017 В афише координата 21 км тракта, а расстояние ниже 24 км 1 Цитата Ссылка на комментарий Поделиться на другие сайты Поделиться
КОТ Опубликовано 17 августа, 2017 Автор Поделиться Опубликовано 17 августа, 2017 А почему в регистрации нет разделения на МТБ и Шоссе? Разделил на 2 категории, но можете меня застрелить если приедет хотя бы 5 МТБшников Цитата Ссылка на комментарий Поделиться на другие сайты Поделиться
Mew Опубликовано 18 августа, 2017 Поделиться Опубликовано 18 августа, 2017 Не надо так, а вдруг приедут)) А мы тебя любим)) Цитата Ссылка на комментарий Поделиться на другие сайты Поделиться
meaoow Опубликовано 18 августа, 2017 Поделиться Опубликовано 18 августа, 2017 можете меня застрелить если приедет хотя бы 5 МТБшников Так себе мотивация:)согласна с Катей. Цитата Ссылка на комментарий Поделиться на другие сайты Поделиться
Mew Опубликовано 18 августа, 2017 Поделиться Опубликовано 18 августа, 2017 У меня предложение к участникам и организатору. Создать такую же информацию как на проф.турах: Участник, его фотография. Основная информация: Сколько лет, рост, вес. Где участвовал. Заслуги. Интересы. И выкладывать в профильной группе. Что думаете по этому поводу. 1 Цитата Ссылка на комментарий Поделиться на другие сайты Поделиться
тихо-ХОД!!! Опубликовано 18 августа, 2017 Поделиться Опубликовано 18 августа, 2017 Давайте замутим... Кому-то же места не хватит если все титулы будет размещать...))) это будет как , своего рода, предпосылка на International... :D Ну а как знать...может кто подкатит а у нас нет соответствия международному уровню... Растём по-маленьку... Цитата Ссылка на комментарий Поделиться на другие сайты Поделиться
Mew Опубликовано 18 августа, 2017 Поделиться Опубликовано 18 августа, 2017 Кто согласен - присылайте мне все данные, я буду размещать :rolleyes: Цитата Ссылка на комментарий Поделиться на другие сайты Поделиться
sm1t Опубликовано 19 августа, 2017 Поделиться Опубликовано 19 августа, 2017 ВСЕ СОГЛАСНЫ %) Цитата Ссылка на комментарий Поделиться на другие сайты Поделиться
sm1t Опубликовано 19 августа, 2017 Поделиться Опубликовано 19 августа, 2017 а в этом году не будет деления на профиков и любителей как в прошлом году? Цитата Ссылка на комментарий Поделиться на другие сайты Поделиться
КОТ Опубликовано 19 августа, 2017 Автор Поделиться Опубликовано 19 августа, 2017 А я пока ни одной заявки кроме тебя и Кати не видел. Будут спортсмены, будем делить. Цитата Ссылка на комментарий Поделиться на другие сайты Поделиться
colorex Опубликовано 19 августа, 2017 Поделиться Опубликовано 19 августа, 2017 На зарег.ми вчера зарегистрировался Цитата Ссылка на комментарий Поделиться на другие сайты Поделиться
colorex Опубликовано 20 августа, 2017 Поделиться Опубликовано 20 августа, 2017 Истинные мтб не приедут ибо сегодня объявили: 3сент в 11 старт ТЭЦ 5. Соответственно истинные шоссера свалят сюда. Ума не хватило сдвинуть на день -на 2сент. В итоге ни там ни тут народа не будет 1 Цитата Ссылка на комментарий Поделиться на другие сайты Поделиться
Mew Опубликовано 20 августа, 2017 Поделиться Опубликовано 20 августа, 2017 Истинные мтб не приедут ибо сегодня объявили: 3сент в 11 старт ТЭЦ 5. Соответственно истинные шоссера свалят сюда. Ума не хватило сдвинуть на день -на 2сент. В итоге ни там ни тут народа не будет А где объявили если не секрет?) Цитата Ссылка на комментарий Поделиться на другие сайты Поделиться
colorex Опубликовано 20 августа, 2017 Поделиться Опубликовано 20 августа, 2017 (изменено) В Ростовке. Изменено 20 августа, 2017 пользователем colorex Цитата Ссылка на комментарий Поделиться на другие сайты Поделиться
КОТ Опубликовано 20 августа, 2017 Автор Поделиться Опубликовано 20 августа, 2017 (изменено) Истинные мтб не приедут ибо сегодня объявили: 3сент в 11 старт ТЭЦ 5. Соответственно истинные шоссера свалят сюда. Ума не хватило сдвинуть на день -на 2сент. В итоге ни там ни тут народа не будет Ну это форменное свинство, ТЭЦ-5 должно было пройти 20 августа, если они по своей криворукости не могут организовать соревнования в объявленную дату, то зачем другим мешать! Я свои соревнования за год планирую и провожу точно день в день, несмотря на погоду, даже начало ни разу не сдвинул, все минута в минуту. А тут мало того что переносят, дак еще и совмещают. Судя по статистике у них сегодня в ростовке было 2,5 человека, ну и на ТЭЦ столько же приедет, дак зачем людям подсирать. И зачем все эти вопли со стороны МТБ участников, типа мы тоже хотим с шоссерами разделки катать! КТО эти МЫ, где ОНИ? Катя да Сергей, вот и все участники. Времени конечно еще 2 недели, атрибутику и награды буду заказывать на следующей, так что посмотрим, кому действительно это интересно, а кто просто на форуме идеи генерит. Изменено 20 августа, 2017 пользователем КОТ 3 Цитата Ссылка на комментарий Поделиться на другие сайты Поделиться
sm1t Опубликовано 20 августа, 2017 Поделиться Опубликовано 20 августа, 2017 наши местные шоссейные профики тоже говорят что на 2 и 3 сентября в Казахстан на гонки уезжают всей бандой:( В Ростовке. всех сжечь напалмом негодования :( Цитата Ссылка на комментарий Поделиться на другие сайты Поделиться
Mew Опубликовано 20 августа, 2017 Поделиться Опубликовано 20 августа, 2017 А у меня и папы теперь шоссеры есть. Один Серега остался. Но старта я уже с ними ругалась в другой теме, они сказали "Организатор решает". И это бесполезно. У нас есть люди, котором интересен и тот и тот старт. Но им пофиг. Типа 3 человека, ничего не решает. :-( Цитата Ссылка на комментарий Поделиться на другие сайты Поделиться
Рекомендуемые сообщения
Присоединяйтесь к обсуждению
Вы можете написать сейчас и зарегистрироваться позже. Если у вас есть аккаунт, авторизуйтесь, чтобы опубликовать от имени своего аккаунта.